|
 |
|
|
PREVIOUS
|
|
GAGE BLOCK HEADER PAGE
|
|
|
|
|
|
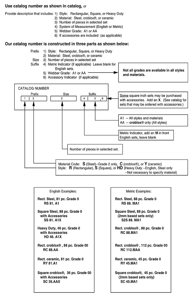
How to Order Gage Block Sets
|
|
|
|
Please place your order through your local Starrett/Webber distributor. To find
out the telephone number or location of the nearest distributor click here!
|
|
|
 |
|
|
NOTE: All square style metric sets are 2mm based only
All Rectangular style metric sets are available in 1mm based sets only.
|
|
|
For more information on 2mm based sets, click here.
|
|
|
|
For more information on gage block tolerances, click here.
For more information on gage block materials, click here
For more information on available set selection, see general catalog or click below:
|
|
|
|
Inch System
|
|
Metric System
|
|
|
Rectangular style, steel material
Rectangular style, croblox® material
Rectangular style, ceramic material
Square style, steel material
Square style, croblox® material
Heavy-Duty style, steel material
|
|
Rectangular style, steel material
Rectangular style, croblox® material
Rectangular style, ceramic material
Square style, steel material
Square style, croblox® and steel material
|
|
|
|
PREVIOUS
|
|
GAGE BLOCK HEADER PAGE
|
|
|
|
|
GB60
|
|
©2022, Webber Gage Division, The L. S. Starrett Co, Westlake, Ohio , 44145
|
|
|
|
|
|
|
|
|
|
|
|
|
|
|
|
|
|
|
|
|
|
|
|
|
|
|
|
|
|
|
|
|
|
|
|
|
|